网上志愿填报时间
4月10日9:00—4月11日18:00
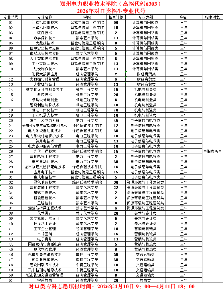
高招代码6303
1.考生登录河南省教育考试院官网(https://www.haeea.cn/),找到首页“网上报名”点击“河南省普通高校招生考生服务平台”或直接访问河南省普通高校招生考生服务平台(https://pzwb.haeea.cn/stu)。

2.进入考生服务平台后,请仔细阅读“信息公告”区、“注意事项”区发布的政策公告和注意事项
3.在考生登录区输入考生号、身份证号和登录密码和验证码,进入系统进行填报。

4.如果考生忘记自己的考生号和密码可以通过菜单栏的“忘记考生号”和“忘记密码”菜单项找回考生号和重置自己的密码(找回考生号时需要报名注册时的12位报名序号和注册密码,若以上信息找不到,可以查看个人报名信息登记表上的考生号或联系学校老师)。


5.登录普通高招服务平台后,点击菜单栏的“填报志愿”菜单项,下拉菜单会显示出填报的批次。
6.输入学校代码和专业代号
填写院校:输入(6303)郑州电力职业技术学院学校代码,输入要填报的专业代号,系统会自动显示专业名称,确认无误后保存。
7.保存志愿信息
志愿保存成功后,系统自动跳转到志愿信息浏览页面,显示考生已经填报的志愿信息,考生可以点击打印按钮打印志愿信息。
8.安全退出
使用过程中,同一台电脑同时只允许一名考生进行操作。考生保存志愿后,点击“退出”,然后关闭浏览器,避免造成信息泄露。
